Агентство интернет-маркетинга SV Digital предоставляет услуги по ведению и оптимизации рекламных кампаний в интернете для В2В и В2С-брендов: настраивает контекстную рекламу, управляет продвижением на торговых площадках, повышает продающие качества сайтов.
Последние несколько лет стали настоящим испытанием для бизнеса. Кризис, начавшийся в пандемию и продолжившийся после начала СВО, введения санкций и ограничений со стороны Запада, ощутимо потрепал российское бизнес-сообщество. Многие компании потеряли значительную часть дохода. Чтобы выжить пришлось перестраиваться и искать новые возможности для развития.
Клиент — бренд женской одежды премиум-класса — обратился в агентство SV Digital в ноябре 2021 года с запросом увеличить количество продаж интернет-магазина и снизить долю рекламных расходов (ДРР) в периоды без акций.
Важно отметить, что за год несколько раз менялись вводные данные от клиента — ключевые цели, которых нужно было достичь. И каждый раз команда агентства с успехом их достигала.
В марте интернет-магазин потерял основной источник трафика после блокировки Instagram (проект Meta Platforms Inc., деятельность которой запрещена в России). Таким образом, контекстная реклама стала основным источником трафика и целевые показатели по ДРР, доходу и транзакциям были скорректированы.
Впоследствии специалисты SV Digital масштабировали кампании и увеличили ДРР в несколько раз, что более чем устроило заказчика.
До агентства SV Digital контекстной рекламой занимался другой подрядчик, но результаты его работы оставляли желать лучшего. Количество заказов с контекстной рекламы не устраивало клиента, а отчёты были не регулярными и не информативными. По совету коллег, клиент обратился в SV Digital за аудитом.
Видео: как интернет-магазину увеличивать продажи в кризис
На конференции «Неделя интернет-маркетинга 2023» рассказали, как интернет-магазину увеличивать продажи в кризис с помощью микса рекламы в Яндекс.Директ, Телеграм и Авито на примере кейсов магазина спортивных товаров и магазина женской одежды премиум-класса.
Результаты аудита
На старте специалисты провели глубокий анализ контекстной рекламы клиента и составили список необходимых изменений. Предстояло исправить ошибки в настройках рекламных кампаний, которые были обнаружены в ходе исследований.
SV Digital начали с кросс-минусации между рекламными кампаниями с одинаковым ГЕО, чтобы показывать пользователям наиболее релевантные объявления.
Далее, настроили временной таргетинг для рекламных кампаний в регионах с другими часовыми поясами. В некоторых городах объявления показывались со сдвигом, не попадая в рамки с 7:00 до 1:00. Кроме того, в РК в регионах с разным часовым поясом был включён круглосуточный показ объявлений с понижающими корректировками в ночное время. Так агентству удалось получить большие охваты по сниженной цене.
Следом были добавлены запрещённые площадки в РСЯ, проверены и отминусованы ресурсы с высокими отказами, большим расходом, а также площадки, где не было конверсий и где цена конверсии значительно превышала целевую.
Стоит отметить, что прежде в кампаниях не было разделения по географии — они были запущены на всю Россию.
Регионы были отделены от Москвы и Московской области, а также были отделены Санкт-Петербург и Ленинградскую область. Это было необходимо, поскольку спрос на бренды одежды премиум-сегмента в регионах ниже, а цена за клик в Москве и СПб выше. Поэтому для них применяли ставки выше, чем в других регионах РФ.
Кроме того, предстояло запустить ряд новых форматов объявлений, которые не были подключены прежде. Необходимо было переработать рекламные кампании и пересобрать семантику, а также дополнить список минус-слов, чтобы снизить количество нецелевых кликов.

Этапы работы
1. Расширение структуры кампаний и списка ключевых словДля начала были изменены брендовые кампании: исключены запросы с нулевой частотностью, а также нецелевые запросы с отзывами. С помощью сервиса Key Collector была собрана недостающая семантика, увеличено количество категорий и начаты показы.

Далее были подключены новые форматы — Смарт-баннеры и Мастер кампаний. Кампании по фиду — традиционно одни из самых эффективных инструментов для продвижения интернет-магазинов одежды. Они обновляются автоматически, за счёт чего реклама остается всегда актуальной, и отпадает необходимость подбирать ключевые фразы, тексты объявлений и изображения для каждого товара на сайте. Также был включён ретаргетинг на брошенные корзины. После этого количество заказов увеличилось в несколько раз.

2. Масштабирование кампаний
Как уже было упомянуто, в процессе работы поменялись цели и ключевые показатели, которых хотел достичь клиент. После отключения Instagram (проект Meta Platforms Inc., деятельность которой запрещена в России), контекстная реклама стала основным источником трафика для интернет-магазина, и клиент захотел масштабировать кампании, чтобы сохранить доход.
В связи с чем, SV Digital расширили таргетинги и запустили новые форматы кампаний.
Во-первых, была добавлена кампания по интересам в РСЯ. На основе отчёта по долгосрочным интересам в Метрике были собраны следующие сегменты — женская парфюмерия, ювелирные украшения, уход за лицом, волосами и телом, парфюмерия, а также жилая недвижимость премиум-класса, йога, путешествия и аренда помещений для мероприятий.
Во-вторых, была запущена кампания по доменам конкурентов. Далее подключены товарные кампании и добавлены смарт-баннеры в ретаргетинг и на похожую аудиторию (look-alike). Специалисты агентства запустили динамические объявления в разбивке по категориям, а также кампании по запросам конкурентов.
Кроме того, были сделаны новые запуски по тематическим запросам: чёрная пятница и новогодняя коллекция.
Важно отметить, что итоговый показатель ДРР на этом этапе вырос до 20%. Этот момент был согласован с заказчиком. Его устроила новая доля рекламных расходов при значительном увеличении количества заказов в месяц.
3. Настройка кампании и аналитики
Следует отметить, что агентство изначально изменило ручное управление ставками по кампаниям на автостратегии с оплатой за заказы, что позволяет оптимизировать кампании и получать больше лидов по меньшей цене.
Также были скорректированы тексты и заголовки имеющихся объявлений на более релевантные и конверсионные. На все объявления было создано по 3 варианта описаний, чтобы система автоматически выбирала наиболее кликабельные и снижала на них стоимость. Кроме того, в описаниях использовались все 56 возможных символов, заполнялись все доступные расширения — по 8 штук для каждого объявления.

Что касается аналитики, то у клиента до начала работы SV Digital уже была настроена электронная коммерция. Здесь специалисты лишь проверили исправность передачи данных из CRM в Метрику.
Для того, чтобы отслеживать плановые показатели, менеджеры настроили онлайн-дашборд, куда ежедневно автоматически подтягивались данные из систем веб-аналитики и систем размещения рекламы. Такая механика позволила оперативно реагировать на изменения в кампаниях.

Результаты
Работу над данным проектом можно условно разделить на несколько этапов.Первый период (ноябрь 2021 — февраль 2022) количество продаж выросло более, чем в 4.5 раза, а стоимость продажи снизилась на 96%. ДРР удалось снизить вдвое — до 3%.

Второй период (март 2022 — август 2022). С учётом значительного спада заказов и потери ключевого источника трафика (запрещенная соцсеть), удалось удержать ДРР менее 10%.

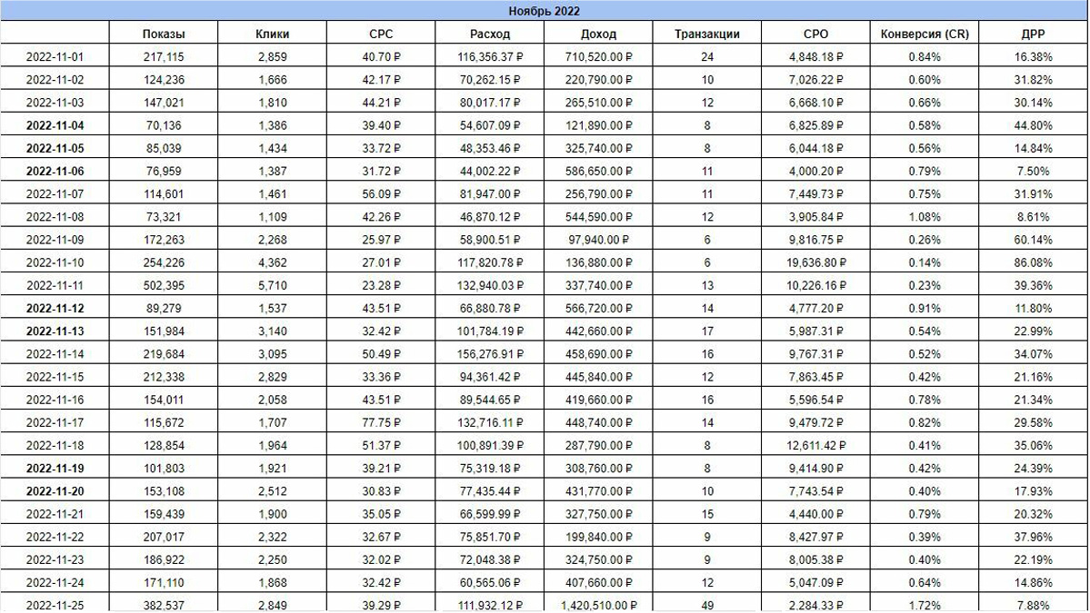
Заключительный период (сентябрь 2022 — ноябрь 2022). Удалось масштабировать кампании и выйти на показатель в почти 400 заказов в месяц (до этого было в среднем 57 заказов в месяц), а также поднять средний месячный доход выше 10 миллионов рублей.

В общей сложности, за год работы команды SV Digital над проектом доход с контекстной рекламы превысил 123 млн руб. По словам клиента, это отличный результат, который помог сохранить и развивать бизнес в непростые времена. Сейчас SV Digital продолжает работу над проектом, планирует и дальше масштабировать кампании и запускать новые форматы.
Выполнено в компании SV Digital
Контактная информация:
Телефон: +7 (499) 286-84-81
E-mail: info@sv-digital.com
Контактная информация:
Телефон: +7 (499) 286-84-81
E-mail: info@sv-digital.com







